The following article is from eye research society , Author Xie Hui

Recently, Professor He Mingguang and his team from the eye center of Sun Yat sen University evaluated the effect of low-intensity repeated red light therapy on controlling the progression of myopia in children through a multicenter randomized controlled trial. The results were pre published in the top journal of Ophthalmology on December 1, 2021. Jiang Yu, Zhu Zhuoting, Tan Xingping, Kong Xiangbin and Zhong Hui are the co first authors.
Research overview
The study was a one-year multicenter, randomized, parallel and single blind clinical trial, which was included in research centers such as Shenzhen Children's Hospital, Foshan Second People's Hospital, Xiangya Hospital and Zhongshan ophthalmology center of Sun Yat sen University. A total of 264 children aged 8-13 years with post mydriasis equivalent spherical lens of - 1.0d to - 5.0d and corrected visual acuity ≥ 1.0 (Snellen decimal) were included in the study, of which 119 children were randomly assigned to the intervention group (red light + frame glasses) and 145 to the control group (frame glasses). The baseline assessment was carried out from July to August 2019, and the visit plan was carried out in the first, third, sixth and December after the baseline (August 2020 as the study end point). The main study end points were: compared with the baseline, the ocular axis changes in the first, third, Sixth and December, the red light control effect was expressed by the change difference between the two groups / the change value of the control group; Secondary end points included equivalent balloscopic changes after mydriasis.
Figure 1 Research flow chart
Statistical analysis method
ITT data set is used for statistical analysis, and the data of right eye is taken. If the data of right eye is missing, the data of left eye is taken (n = 6). The authors used mixed effects models to evaluate the control effect, in which the change value of the main endpoint at different visit plan time points was used as the dependent variable, the interaction items of grouping variable, visit time point variable and grouping * visit time point variable were set as fixed effects, baseline ocular axis, sex and baseline age were set as covariates, and individual subjects were set as random effects. In addition, the author uses the mixed effect model to analyze the relationship between control effect and compliance.
Research results
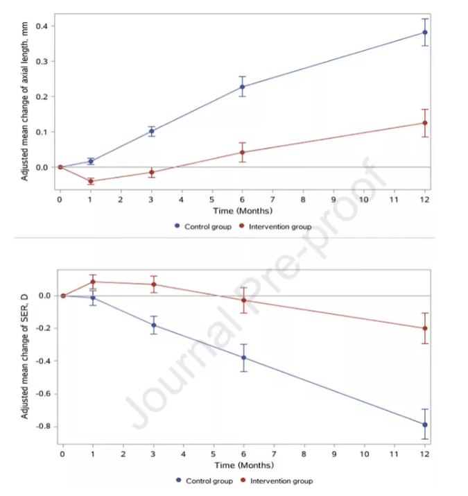
In the 12th month, the average axial growth in the red light intervention group was 0.13MM and that in the control group was 0.38mm. The average difference between the two groups was 0.26mm (95% CI: 0.20, 0.31), which means that the red light therapy delayed the axial growth by 69.4%. In addition, 39.8% of myopia children in the red light intervention group had an axial regression of more than 0.05mm in the first month. At 3, 6 and 12 months, the proportion of clinically significant axial regression was 29.2%, 32.9% and 21.6%, respectively.
In terms of secondary outcomes, in the 12th month, the average progress of Se after mydriasis in the red light intervention group was -0.20d and -0.79d in the control group. The average difference between the two groups was -0.59d (95% CI: - 0.72, - 0.46), which means that red light therapy can delay the progress of myopia by 76.6%. In the red light intervention group, the proportion of Se regression exceeding 0.25D was 15.1%, 17.9%, 15.8% and 18.9%, respectively.

Figure 2 Changes of ocular axis and Se in intervention group and control group in December
In terms of compliance, the median compliance in the red light intervention group was 75% (interquartile range: 14.1%, 112.1%); When the compliance increased from < 50% to 75%, the delay rate of ocular axis growth increased from 44.6% to 76.8%, and the se control rate increased from 41.7% to 87.7%. In terms of side effects, no serious side effects were observed throughout the test cycle. Two people reported that "the red light was too dazzling", three people reported that they could not carry out red light irradiation as required, and one person changed to OK mirror for treatment.
Table (original table 3) Effects of repeated low intensity red light on Al and Se in ciliary paralysis in different compliance groups

research conclusion
This study shows that repeated low-intensity red light therapy can effectively control the progression of myopia in children aged 8-13 years. As a new alternative therapy, red light therapy has good user acceptance and no functional and structural damage is observed. However, it is still necessary to study and explore its long-term safety, effectiveness and optimal treatment scheme.
(translated by Xie Hui of Shanghai eye disease prevention and treatment center)
Read the original text
Jiang Y, Zhu Z, Tan X, Kong X, Zhong H, Zhang J, Xiong R, Yuan Y, Zeng J, Morgan IG, He M, Effect of Repeated Low-Level Red-Light Therapy in Myopia Control in Children:A Multicenter Randomized Controlled Trial, Ophthalmology (2022), doi: https://doi.org/10.1016/j.ophtha.2021.11.023.(原文链接:https://www.aaojournal.org/article/S0161-6420(21)00916-7/fulltext)
Jiang Y, Zhu Z, Tan X, Kong X, Zhong H, Zhang J, Xiong R, Yuan Y, Zeng J, Morgan IG, He M, Effect of Repeated Low-Level Red-Light Therapy in Myopia Control in Children:A Multicenter Randomized Controlled Trial, Ophthalmology (2022), doi: https://doi.org/10.1016/j.ophtha.2021.11.023. (original link: https://www.aaojournal.org/article/S0161-6420 (21) 00916-7/fulltext)
Expert profile

Professor Ho Ming Kwong
Doctoral director, Professor of Ophthalmology at Zhongshan ophthalmology center and the University of Melbourne
He is currently the deputy editor in chief of bjo, the director of the World Health Organization's blindness prevention cooperation center in Australia, the deputy secretary general and director of the Asia Pacific Ophthalmology Society, the president of the Asia Pacific distance Ophthalmology Society, and the leader of the blindness prevention and Epidemiology Group of the ophthalmology branch of the Chinese Medical Association.
National outstanding youth, leader researcher of the National Health Medical Research Council of Australia (nhmrcleavership fellow), leading talents of the national "ten thousand people plan", etc.
He has published more than 350 SCI papers in international cutting-edge magazines such as JAMA and lancet, with more than 16000 SCI citations.